Mundo Fesc, 9 (17) (2019), 7-15 Enero /Junio 2019, ISSN 2216-0353 (impreso) - 2216-0388 (Online)

TOPSIS en ambiente de términos lingüísticos imprecisos para la selección de proveedores

TOPSIS in an environment of inaccurate linguistic terms for the selection of suppliers

a Janeth Muñoz Cruz , b Luis A Perez-Domínguez, c Roberto Romero-López, d Iván Juan Carlos Pérez Olguín

a Departamento de Ingeniería Industrial y Manufactura, janeth.munoz5@gmail.com,
Orcid:0000-0003-4992-7336, Universidad Autónoma de Ciudad Juárez, Ciudad Juárez, México
a Doctor en Ciencias de Ingeniería, luis.dominguez@uacj.mx, Orcid:0000-0003-2541-4595
Universidad Autónoma de Ciudad Juárez, Ciudad Juárez, México
b Doctorado en Ciencias Administrativas,roberto.romeero@uacj.mx, Orcid:0000-0003-0859-327X
Universidad Autónoma de Ciudad Juárez, Ciudad Juárez, México
c Departamento de Ingeniería Industrial y Manufactura, ivan.perez@uacj.mx, Orcid:0000-0003-2445-0500,
Universidad Autónoma de Ciudad Juárez, Ciudad Juárez, México
Recibido: 1 de Julio de 2018, Aceptado: 10 de Noviembre de 2018
Forma de citar: J.Muñoz-Cruz,L.A Perez-Domínguez, R. Romero-López. I.J.C Pérez-Olgín, “TOPSIS en ambiente de
términos lingüísticos imprecisos para la selección de proveedores”, Mundo Fesc, vol. 9, no. 17, pp. 7-15, 2019.

Resumen

La selección proveedores es un problema crítico en el campo de la cadena de suministro. Igualmente, la selección de proveedores es considerado como un problema de toma de decisiones multi-criterio (MCDM). Asimismo, la literatura revisada indica que se han desarrollados diversos métodos de MCDM, inclusive se han desarrollado hibridaciones con dichos métodos con el objetivo de proponer una solución robusta. Sin embargo, existe el problema latente para manipular la incertidumbre relacionada con las preferencias de los decisores. En este sentido, para abordar el problema de la incertidumbre comúnmente involucrada en los problemas de MCDM se plantea el uso de los conjuntos difusos, particularmente dicha incertidumbre está relacionada con las evaluaciones de los criterios y alternativas. Así de esta manera, para lidiar con la incertidumbre aludida anteriormente, el presente trabajo documenta el uso de la Técnica de orden de preferencia por similitud con la solución ideal TOPSIS (Technique for Order of Preference by Similarity to Ideal Solution, por sus siglas en inglés) en ambiente de términos lingüísticos imprecisos para la selección de proveedores. Además, un caso experimental es presentado para demostrar la factibilidad del método propuesto donde se evalúan cuatro proveedores, se consideran seis criterios clave para la evaluación y se considera la calificación asignada de cinco expertos para seleccionar la opción más alejada a la solución ideal negativa.

Palabras Claves: Multi-criterio, Proveedores, Difuso, Manufactura 4.0.


Abstract

The selection of suppliers is a critical problem in the field of the supply chain. Likewise, the selection of suppliers is considered as a multi-criteria decision-making problem (MCDM). Likewise, the literature reviewed indicates that various MCDM methods have been developed, including hybridizations with these methods in order to propose a robust solution. However, there is a latent problem to manipulate the uncertainty related to the preferences of the decision makers. . In this sense, to address the problem of uncertainty commonly involved in the problems of MCDM, the use of fuzzy sets is raised, particularly this uncertainty is related to the evaluations of the criteria and alternatives. Thus, in order to deal with the uncertainty mentioned above, the present work documents the use of the order technique of preference for similarity with the ideal solution TOPSIS

Autor para correspondencia:
*Correo electrónico: janeth.munoz5@gmail.com

(Technique for Order of Preference by Similarity to Ideal Solution, for its acronym in English ) in an environment of inaccurate linguistic terms for the selection of suppliers. In addition, an experimental case is presented to demonstrate the feasibility of the proposed method where four providers are evaluated, six key criteria for evaluation are considered and the rating assigned by five experts is considered to select the option farthest from the ideal negative solution.

Keywords: Multi-criteria, Suppliers, Fuzzy, Manufacturing 4.0.


Introducción

La inserción de la manufactura 4.0 permite crear cadenas de suministro inteligentes que a su vez son la clave para favorecer la relación con los proveedores y convertirse en una empresa altamente competitiva en el mercado [1].

La actividad de selección de proveedores se considera crítica debido al gran aporte infalible en la reducción de gastos operacionales dentro de una empresa [2]. Se ha demostrado que es posible lograr mejores desempeños en el mercado al integrar procesos con los proveedores y los canales de distribución [3]. De esto derivan diversas investigaciones sobre la toma de decisiones relacionadas con selección de proveedores donde se formula como un problema multi-criterio MCDM [4]. Por lo que, la selección de los proveedores adecuados implica mucho más que obtener una listas de precios y se debe considerar que las opciones se presentaran en numerosos factores tanto cuantitativos como cualitativos [5].

Por otro lado, la competencia ya no es entre empresas si no entre cadenas de aprovisionamiento, por lo que se vuelve imprescindible una correcta selección de proveedores apoyada de métodos de selección para la toma de decisión [3]. Asimismo, en investigaciones se refleja que las técnicas multi-criterio MCDM más populares reportadas en la literatura son el proceso de jerarquía analítica AHP (Analytic Hierarchy Process, por sus siglas en inglés] y TOPSIS [6] . También, los problemas de toma de decisiones multi-criterios (MCDM) consideraran la interpretación de la preferencia humana por problemas de decisión de la vida real, se maneja información ambigua debido a que los valores fijos no son adecuados para exteriorizar las preferencias u opiniones humanas [7]. Además, Zadeh [8] propone el concepto de la teoría de conjuntos difusos y se utiliza con éxito para manejar la incertidumbre en la toma de decisiones debido a que el uso de evaluaciones lingüísticas es más práctico que numérico.

Igualmente, Dubouis [9] discute algunas nuevas técnicas de análisis de decisión y sugiere el uso de la función de membresía, las variables lingüísticas y los intervalos difusos. Por lo que, utilizando esta última referencia, se extiende TOPSIS difuso para conjuntos de términos lingüísticos difusos imprecisos (HFLTS por sus siglas en inglés) con la opinión de los tomadores de decisiones sobre los criterios de las alternativas [7]. En el presente documento se propone una aplicación del método TOPSIS con la metodología términos conjunto de términos lingüísticos difusos imprecisos HFLTS para la toma de decisiones multi-criterio [MCDM] aplicado a un caso de selección de proveedores.

Conceptos básicos

En general, la Manufactura 4.0 es un nuevo exponente para organizar y controlar la cadena de valor durante la fabricación y el ciclo de vida del producto sustentado por las tecnologías de la información. Este término fue creado por el gobierno alemán como parte de un proyecto llamado: El futuro de la “industria 4.0” para contribuir a la llamada cuarta revolución industrial [10]. Donde el mundo físico-real y el mundo virtual se vinculan en un sistema llamado Cyber Physical-System CPS [11]. Dicha corriente de pensamiento ha aumentado la demanda de mantener satisfecho al cliente, lo que a su vez exige garantizar la realización sin problemas en la cadena de suministro industrial [12].

De igual forma, los proveedores constituyen un eslabón importante en la cadena de suministro debido a sus servicios de provisión de materias primas, soporte tecnológico por mencionar alg u nos [4]. De igual forma, los proveedores constituyen un eslabón importante en la cadena de suministro debido a sus servicios de provisión de materias primas, soporte tecnológico por mencionar algunos [4].

Así entonces, en la actualidad la calidad y el buen desempeño de una empresa están estrechamente relacionados con el servicio que reciben de sus proveedores [13]. Por lo tanto, el procedimiento de selección de proveedores requiere como factor principal que el proveedor tenga la capacidad de mejorar y cumplir las políticas de producción sin descuidar las características habituales como lo es calidad , precio, servicio y planes de pago [3].

Los métodos multi-criterios MCDM para el análisis de decisiones logran interrelacionar diversas variables en un modelo matemático o algoritmo para encontrar una alternativa más conveniente [14]. Estos se aplican cuando un problema requiera de la comparación, la, jerarquización y la valoración de un conjunto de alternativas respecto a n criterios requeridos para tomar una decisión [15].

Por otro lado, actualmente está disponible una gama extensa de investigaciones enfocadas en la selección de proveedores usando métodos multi-criterio MCDM, los métodos más populares son los métodos AHP (Analytic Hierarchy Process, por sus siglas en inglés) y TOPSIS [16]. Sin embargo algunos problemas de selección de proveedores se presentan en condiciones inciertas en la vida real y al ser tan desafiante modelar la incertidumbre, se aplican herramientas para resolver problemas ambiguos como la lógica difusa y la teoría de conjuntos difusos [17]. No obstante, para poder manejar información ambigua que proviene de diferentes fuentes al mismo tiempo se utilizan diferentes extensiones de conjuntos difusos [18]. Los conjuntos difusos ambiguos que se han introducido recientemente y proporcionan una extensión muy interesante de los conjuntos difusos al intentar gestionar esas situaciones, donde es posible un conjunto de valores en el proceso de definición de la membresía de un elemento [19].

Para tratar varios valores en una función de un entorno cuantitativo el concepto de conjunto de términos lingüísticos difuso ambiguos (HFLTS), basado en el enfoque lingüístico difuso, que sirve como base para aumentar la flexibilidad de la obtención de información lingüística por medio de términos lingüísticos [18].

Conceptos básicos de HFLTS

Sea X un universo nítido de elementos genéricos y el conjunto difuso B en el universo X es un mapeo de X a (0,1) para cualquier x εx, el valor B(x) se denomina grado de pertenencia de x en B [7]. [19] introduce una extensión para conjuntos difusos para gestionar aquellas situaciones en las que varios valores son posibles para la definición de una función de pertenencia de un conjunto difuso. Además, el concepto de HFLTS es introducido por [18].

A continuación se dan algunas de las definiciones, operaciones y cálculos realizados en HFLTS seg ú n [18]:

Definición 2.1 Sea S un conjunto de términos lingüísticos S={S0... Sg} un HFLTS; HS es un subconjunto finito ordenado de los términos lingüísticos consecutivos de S.

Se define S el conjunto de términos lingüísticos S={S0,...Sg} para definir los HFLTS vacíos y los HFLTS completos para una variable lingüística θ de la siguiente manera:

HFLTS vacía: HS (θ)={0},
HFLTS lleno: HS (θ)=S.

Cualquier otro HFLTS se forma con al menos un término lingüístico en S. Ejemplo 2.1 Sea S un conjunto de términos lingüísticos, S={ S0: Extremadamente Pobre [EP], S1: Muy Pobre [MP], S2: Pobre [P] , S3: Medio [M], S4: Bueno [B], S5: Muy Bueno [MB], S6: Extremadamente Bueno [EB]} un HFLTS diferente podría ser HS (θ)={S1: Muy Pobre, S2: Pobre, S3: Medio, S4: Bueno, S5: Extremadamente Bueno}.

Definición 2.2 Es S un conjunto de términos lingüísticos, S={S0...Sg } y Hs sea un HFLTS. El límite superior H(S+) y el límite inferior H(S-) de los HFLTS Hs se definen como: E= { e1,e2....,ek}

Definición 2.3 El conjunto de la HFTLS, env(H_S ) es un intervalo lingüístico cuyos límites se obtienen mediante el límite superior (max)y el límite inferior (min). Por lo tanto env(HS )=[H_(S-),H(S+)].

Ejemplo 2.2 Es S={S0: Extremadamente Pobre, S1: Muy Pobre, S2: Pobre , S3: Medio, S(4:) Bueno, S5: Muy Bueno, S6: Extremadamente Bueno }. El HFLTS de S es

En consecuencia, el sobre de HFLTS da la información completa de HFLTS. Si se conoce el sobre de HFLTS y el conjunto de términos lingüísticos, se puede escribir HFLTS.

Metodología

En general, el problema de MCDM incluye datos e información inciertos e imprecisos. Para la construcción completa de pasos para TOPSIS difusos en HFLTS, se utiliza una distancia entre dos HFLTS que se puede calcular con la ayuda de envolturas de HFLTS.

Se denomina la distancia entre H1/s y H2/S

Como resultado se puede calcular la distancia ente dos intervalos lingüísticos con esta definición. A continuación, se presenta un método para los problemas MCDM que involucra los siguientes pasos:

Paso 1.Sea ser una matriz de decisión difusa para el problema MCDM. Las siguientes notaciones se utilizan para representar los problemas considerados:

E= { e1 , e2...... ek} es el conjunto de los tomadores de decisiones o expertos involucrados en la toma de decisiones;

A= {A1,A2...., Am} es el conjunto de las alternativas consideradas, y

C={C1,C2...Cn} es el conjunto de criterios utilizados para evaluar las alternativas.

El desempeño de la alternativa A1 con respecto a un tomador de decisiones el y el criterio Cj se denota como en un entorno de decisión grupal con K personas.

Paso 2. Calculamos la matriz de decisión X agregando las opiniones de los tomadores de decisiones ;


El desempeño de la alternativa A1 con respecto al criterio Cj se denota como Xij en unaMatriz agregada X.

Y Ωc ser una colección de criterios de costo (es decir, cuanto más pequeño sea Cj mayor será la preferencia).

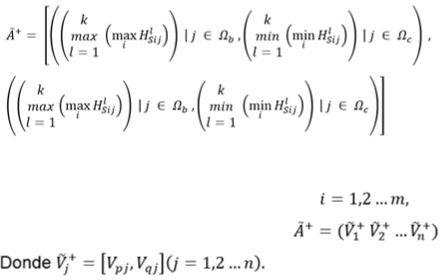
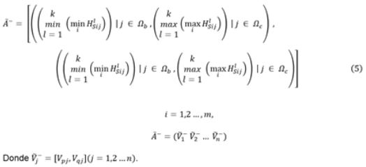
La solución ideal positiva HFLTS [HFLTS-POS], denotada como y la solución ideal negativa HFLTS [HFLTS-NEG] denotado como se definen de la siguiente manera:





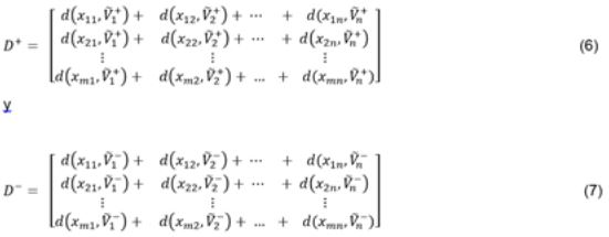
Paso 4. Construya una matriz de separación ideal positiva (D+) y una matriz de separación ideal negativa (D^-), que se definen de la siguiente manera:




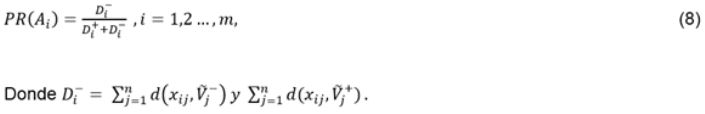
Paso 5. Calcule la proximidad relativa (PR) de cada alternativa a la solución ideal de la siguiente manera:



Paso 6. Clasifica todas las alternativas Ai(i=1,2...,m) de acuerdo con el coeficiente de proximidad RC (Ai) cuanto mayor sea el valor RC(Ai), mejor será la alternativa Ai.

Ejemplo ilustrativo

En esta sección se muestra un ejemplo utilizando la combinación del método TOPSIS y HFLTS para obtener la alternativa más atractiva. Se utiliza la información adaptada del caso presentado en [4].
Paso 1. Una empresa de manufactura de productos electrónicos requiere realizar la adquisición de un robot para las actividades del manejo de materiales. Para lo cual, cuatro proveedores fueron localizados para realizar el proceso de evaluación. Así mismo, se integró un equipo de cinco tomadores de decisión (Ek )=(k=1,2...,5).
A continuación, se presenta la información necesaria para seleccionar al mejor proveedor.

Cuatro proveedores son considerados para el proceso de evaluación. En este sentido, el conjunto de proveedores es denotados por PVi={PV1,PV2,PV3,PV4} Seis criterios son considerados para representar las características más importantes de los proveedores. Dichos criterios son: Velocidad (C1): Se requiere valores altos,Carga(C2): Representa la capacidad de carga del robot. Se requiere valores altos. Costo(C3) se requieren valores bajos.Repetibilidad(C4) Se requieren valores bajos. Servicio(C5): se requiere un alto nivel de servicio. Flexibilidad de programación (C6) se requieren niveles altos.

Paso 2. Calculamos la matriz de decisión X agregando las opiniones de los tomadores de decisiones

Tabla 5 Matriz de decisiones (X ̃^1) con respecto a los tomadores de decisiones 1,2 y 3

Figura 3.Diseño Vista Frontal

Tabla 6 Matriz de decisiones (X2) con respecto a los tomadores de decisiones 4 y 5.

Figura 3.Diseño Vista Frontal

Tabla 7 Matriz de decision (X)

Figura 3.Diseño Vista Frontal

Paso 3. Para los criterios de costo C3,C4 y los criterios de beneficio C1,C2,C5,C6 HFLTS-NEG A- y HFLTS-POS A+ son:

Figura 3.Diseño Vista Frontal

Paso 4. Matriz Positiva ideal ( D+)

Figura 3.Diseño Vista Frontal

Matriz negativa ideal (D-)

Figura 3.Diseño Vista Frontal

Paso 5. Cálculo de la proximidad relativa (PR)de cada alternativa a la solución ideal:

PR(A1)=34/(25+34)= 0.576
PR(A2)=39/(31+39)=0.557
PR(A3)=31/(31+31)=0.508
PR(A4)=33/(25+33)=0.568

Paso 6. Clasificación de todas las alternativas Ai (i=1,2,3,4) de acuerdo con el coeficiente de proximidad:

A1 > A4 > A2 > A3



La alternativa más deseable es A1 el proveedor número uno.

Continuando con el caso ilustrativo se establecen para los criterios de costo C3,C4 y los criterios de beneficio C1,C2,C5,C6 HFLTS-NEGA- y HFLTS -POS A+ :

A+ = [[MB,MB][B,MB][P,P][EP,B][B,EB][B,EB]]
A- = [[P,MP][P,M][EB,MB][M,EB][M,P][P,MP]]

Paso 4. Matriz Positiva ideal ( D+)

Figura 3.Diseño Vista Frontal

Matriz negativa ideal (D-)

Figura 3.Diseño Vista Frontal

Paso 5. Cálculo de la proximidad relativa (PR)de cada alternativa a la solución ideal:

PR(A1) =21/(11+21) = 0.656
PR(A2)=15/(19+15)= 0.441
PR(A3)=20/(18+20)=0.526
PR(A4)=20/(14+20)=0.588

Paso 6. Clasificación de todas las alternativas Ai (i=1,2,3,4) de acuerdo con el coeficiente de proximidad:

A1 > A4 > A3 > A2


La alternativa más deseable es A1 el proveedor número uno.

Conclusiones

Los resultados demuestran que la aplicación del método TOPSIS en un ambiente de términos lingüísticos imprecisos plantea una solución minuciosa a la necesidad de selección de proveedores. Los resultados explican que la mejor alternativa la representa el proveedor número uno, porque obtuvo el valor más alto referente a la distancia de la solución ideal.

Sigue siendo complicado manejar la información ambigua en el proceso, en evaluaciones posteriores se encontró que algunas alternativas pueden duplicarse, esto indica que se debe recurrir a métodos más refinados para ayudar a la decisión de seleccionar al mejor proveedor.

Recomendaciones

Generalmente, es difícil para los tomadores de decisiones medir exactamente la opinión en el dominio de la teoría de conjuntos difusos. Los tomadores de decisiones evaluaron los criterios de las alternativas en una forma de variable siendo la mejor manera de lidiar con la incertidumbre. Igualmente, el método modificado de TOPSIS se propone para resolver problemas de toma de decisiones bajo la opinión de expertos finitos y múltiples criterios en HFLTS. Asimismo, el concepto básico del método propuesto se basa en las soluciones ideales positivas y negativas.

El PR ha clasificado las alternativas teniendo en cuenta simultáneamente no solo la distancia más corta de la solución ideal positiva sino también la distancia más lejana de la solución ideal negativa permitiendo clasificar las alternativas, sin embargo, existe la posibilidad de duplicar el rango o de clasificación. Para las siguientes investigaciones se recomienda asignar un peso a cada criterio calculado previamente con el proceso AHP

Referencias Bibliografícas

    [1] J.L. Del Val Román, "Industria 4.0: la transformación digital de la industria," Facultad de Ingeniería de la Universidad de Deusto (CODDII), 2016.

    [2] S. Yin, T. Nishi, and I. E. Grossmann, "Optimal quantity discount coordination for supply chain optimization with one manufacturer and multiple suppliers under demand uncertainty," The International Journal of Advanced Manufacturing Technology, vol. 76, pp. 1173-1184, February 01 2015

    [3] W.A. Sarache Castro, Ó.D. Castrillón Gómez, and L. F. Ortiz Franco, "Selección de proveedores: una aproximación al estado del arte," Cuadernos de Administración, vol. 22, 2009.

    [4] L.A. Perez-Domínguez, A. Alvarado-Iniesta, García-Alcaraz J.L y O. Vergara-Villegas O., "Selección de proveedores con análisis dimensional difuso intuicionista," CULCyT, 2016.

    [5] W. Ho, X. Xu, and P.K. Dey, "Multi-criteria decision making approaches for supplier evaluation and selection: A literature review," European Journal of Operational Research, vol. 202, pp. 16-24, 2010/04/01/ 2010.

    [6] J. Chai, J.N.K. Liu, and E.W.T. Ngai, "Application of decision-making techniques in supplier selection: A systematic review of literature," Expert Systems with Applications, vol. 40, pp. 3872-3885, 2013/08/01/ 2013.

    [7] I. Beg and T. Rashid, "TOPSIS for Hesitant Fuzzy Linguistic Term Sets," International Journal of Intelligent Systems, vol. 28, pp. 1162-1171, 2013.

    [8] L.A. Zadeh, "Toward a theory of fuzzy information granulation and its centrality in human reasoning and fuzzy logic," Fuzzy Sets and Systems, vol. 90, pp. 111-127, 1997/09/01/ 1997.

    [9] D. Dubois, "The role of fuzzy sets in decision sciences: Old techniques and new directions," Fuzzy Sets and Systems, vol. 184, pp. 3-28, 2011.

    [10] H. Lasi, P. Fettke, H.-G. Kemper, T. Feld, and M. Hoffmann, "Industry 4.0," Business & Information Systems Engineering, vol. 6, pp. 239-242, 2014

    [11] A. Molano, "Internet de las cosas: concepto y ecosistema," Colombia Digital, vol. 1, 2014.

    [12] T. Seth, P.K. Gupta, and P.K. Muhuri, "Hesitant Fuzzy Linguistic Term Sets for Group Decision Making in Supplier Performance Evaluation," in 2018 IEEE International Conference on Fuzzy Systems (FUZZ-IEEE), 2018, pp. 1-8.

    [13] D.W. Dobler and D.N. Burt, "PURCHASING AND SUPPLY MANAGEMENT: TEXT & CASES," FINANCE INDIA, vol. 17, pp. 1092-1092, 2003.

    [14] J.C.V. Schmalbach, T.F. Herrera, and J. M. Gómez, "Aplicación del Método de Decisión Multicriterio UTASTAR para la Selección de Portafolios de Inversión," in Global Conference on Business & Finance Proceedings, 2012, p. 961.

    [15] M. Beuthe and G. Scannella, "Comparative analysis of UTA multicriteria methods," European Journal of operational research, vol. 130, pp. 246-262, 2001.

    [16] A. Mardani, A. Jusoh, and E.K. Zavadskas, "Fuzzy multiple criteria decision-making techniques and applications – Two decades review from 1994 to 2014," Expert Systems with Applications, vol. 42, pp. 4126-4148, 2015/05/15/ 2015.

    [17] T. Takagi and M. Sugeno, "Fuzzy identification of systems and its applications to modeling and control," IEEE transactions on systems, man, and cybernetics, pp. 116-132, 1985.

    [18] R.M. Rodriguez, L. Martinez, and F. Herrera, "Hesitant Fuzzy Linguistic Term Sets for Decision Making," IEEE Transactions on Fuzzy Systems, vol. 20, pp. 109-119, 2012.

    [19] V. Torra, "Hesitant fuzzy sets," International Journal of Intelligent Systems, vol. 25, pp. 529-539, 2010.