Mundo Fesc, 10 (20), pp. 87-97 Julio-Diciembre, 2020, ISSN 2216-0353, 2216-0388

Comportamiento cali- ortográficodeaprendices de formacióntecnológica del Centro CIES SENA mediante Tecnología OCR

Spelling behavior of technological training apprentices at the CIES SENA Center using OCR technology

Freddy Oswaldo Ovalles-Pabón, Christian David Buitrago-Gil, María Zulay González-Gutiérrez

Maestria en Ciencias en Ingeniería Electronica, Servicio Nacional de Aprendizaje- SENA, fovalles@misena.edu.co, Cúcuta, Colombia.
Técnologo en mantenimiento de equipos de computo, diseño e instalación de cableado estructurado, cdbuitrago05@misena.edu.co, Servicio Nacional de Aprendizaje - SENA, Cúcuta, Colombia
Licenciada en Informática, jasy@misena.edu.co Servicio Nacional de Aprendizaje - SENA, Cúcuta, Colombia
Recibido: Marzo 12 de 2020 Aceptado: Junio 17 de 2020
Forma de citar: F.O. Ovalles-Pabón, C.D. Buitrago-Gil, M.Z. González-Gutiérrez, “Comportamiento CaliOrtográfico de Aprendices de Formación Tecnológica del Centro CIES SENA mediante Tecnología OCR”, Mundo Fesc, vol. 10, no. 20, pp. 87-97, 2020

Autor de correspondencia:
*Correo electronico:
fovalles@misena.edu.co

©2020. Fundación de Estudios Superiores Comfanorte.

Licencia Creative Commons


Resumen

El mundo actual exige cambios tecnológicos que hacen a la persona mejorar su entorno académico y facilitar sus tareas de aprendizaje, esto conlleva a realizar un proceso investigativo que fortalezca el desarrollo de la caligrafía y ortografía mediante los beneficios de un accesorio tecnológico que posibilite está tarea e identifique de manera amena y eficaz las fallas ortográficas que día a día se van presentando sin un mecanismo de rectificación y por ende se convierten en un mal hábito. Gracias a esta eventualidad, se logró evidenciar por medio del análisis y la recopilación de las pruebas de dictado ejecutado a los aprendices de algunas formaciones seleccionadas las faltas en el método correcto de escritura. Dadas las estadísticas obtenidas de la prueba de dictado se indago la necesidad urgente de proponer un gadget o dispositivo que facilite la corrección de estas falencias. Del mismo modo se determinó por medio de la ayuda de la tecnología OCR (Reconocimiento Óptico de Caracteres) un reconocimiento mínimo de caracteres por aprendiz. Se infiere la necesidad de diseñar e implementar un dispositivo de tecnología emergente apoyado en TIC (Tecnologías de la Información y las Comunicaciones) que permita mejorar y corregir estos dos aspectos por medio de la interacción del artefacto tecnológico con el usuario y así lograr un mejor escribir y rectificar la ortografía de una manera sencilla y práctica. En este artículo se dará a conocer las diferentes referencias e investigaciones realizadas por diversos autores tomando algunos puntos relevantes para este trabajo investigativo. De igual forma dar a comprender el avance de la investigación en cuanto al análisis de la información recopilada a través de las pruebas de escritura y ortografía aplicada a algunos aprendices mayores de edad en el SENA Centro CIESBarrio Pescadero de la Ciudad de Cúcuta departamento Norte de Santander.

Palabras Claves: Dispositivo TIC, innovación, caligrafía, ortografía, OCR.


Abstract

The current world demands technological changes that make people improve their academic environment and facilitate their learning tasks, this leads to carry out a research process that strengthens the development of handwriting and spelling through the benefits of a technological accessory that enables this task and identifies in a pleasant and effective way the spelling mistakes that day by day are presented without a rectification mechanism and therefore become a bad habit. Thanks to this eventuality, it was possible to demonstrate through the analysis and compilation of the dictation tests executed to the trainees of some selected formations the faults in the correct method of writing. Given the statistics obtained from the dictation test, the urgent need to propose a gadget or device that facilitates the correction of these shortcomings was investigated. Similarly, a minimum number of characters per learner was determined by means of OCR (Optical Character Recognition) technology. It is inferred the need to design and implement an emerging technology device supported by ICT (Information and Communication Technologies) to improve and correct these two aspects through the interaction of the technological artifact with the user and thus achieve a better writing and correct spelling in a simple and practical way. In this article we will present the different references and research carried out by various authors, taking some relevant points for this research work. It will also show the progress of the research in terms of the analysis of the information gathered through the writing and spelling tests applied to some adult apprentices at the SENA CIES Center CIES Barrio Pescadero in the city of Cúcuta, department of Norte de Santander.

Keywords: ICT Device, innovation, writing, orthography, OCR.




Introducción

En México el alfabetismo funcional son problemas que no se han resuelto en el sistema educativo nacional, leer críticamente y escribir es indispensable para quienes piensan ingresar a una institución de nivel superior [1]. La competencia comunicativa de lecto-escritura es uno de los pilares de la formacióneneláreade Humanidades-Lengua castellana de las instituciones educativas de Colombia, por ende es responsabilidad de los docentes fortalecer dichas competencias con la ayuda de metodologías de enseñanza que incentiven la comprensión lectora en los estudiantes y en la capacidad de producir textos, en la actualidad existe una falencia en los niveles de educación básica y media con respecto a la comprensión de lectura y a la producción de textos, a través de un sistema ubicuo se obtienen los resultados de un mejoramiento en las competencias de lecto-escritura en los estudiantes [2]. En el SENA son conscientes que la ortografía requiere un poco más de interés por parte de los alumnos e instructores, por ello han realizado un manual de ortografía de forma sencilla, posee una serie de reglas y ejercicios que ayudaran a la fácil comprensión y aplicación práctica [3]. El SENA en su proceso formativo espera uno de los siguientes resultados de sus aprendices: Se deben establecer procesos comunicativos asertivos que posibiliten la convivencia en los contextos social y productivo en el módulo de comunicación oral y escrita que se encuentra en la dentro de la competencia Promover la interacción de los aprendices consigo mismo, con los demás y con la naturaleza en los contextos laboral y social [4].

Con la implementación de la estrategia Sennova, se ha incentivado el proceso de investigación que llevará a cabo el ciclo de analizar, diseñar, desarrollar y evaluar el fortalecimiento del proceso de caligrafía y ortografía en educación tecnológica del SENA Centro CIES sede Pescadero, Cúcuta, mediante la propuesta de un dispositivo de tecnología emergente basado en TIC que permita fortalecer el aprendizaje en jóvenes aprendices SENA por medio del uso herramientas tecnológicas y de innovación y por ende poder aplicar esta contribución a la comunidad en general.

De acuerdo con lo anterior y así mismo en el estudio realizado en la tesis de Rodríguez, [5] muestra “El desarrollo de la conciencia ortográfica desde el enfoque comunicativo y funcional: una intervención psicopedagógica”, resaltando en esta investigación que existe un déficit de ortografía y caligrafía que impide la comprensión del escrito. Estudio enfocado a niños con algunas problemáticas similares a las establecidas en esta investigación, razón por la cual esta y muchas investigaciones ya realizadas nos lleva a interrogar sobre ¿Cómo fortalecer el proceso de caligrafía y ortografía en educación tecnológica mediante un dispositivo TIC en el SENA Centro CIES Sede Pescadero en Cúcuta? para poder surtir efecto en la calidad formativa de los aprendices en general.

El presente articulo está basado en el proyecto Implementación de un dispositivo TIC que permita el mejoramiento del proceso de caligrafía y ortografía en los aprendices del SENA centro CIES Cúcuta, cuyos objetivos específicos son: Analizar y recopilar la información adquirida a través de las pruebas de escritura y ortografía aplicada a los aprendices mayores de edad. Diseñar un dispositivo tecnológico con base al análisis que permita mejorar la escritura y ortografía. Desarrollar el prototipo a partir del diseño establecido que permita mejorar la escritura y ortografía en los aprendices. Realizar pruebas de funcionamiento al dispositivo TIC, que garantice la calidad y funcionalidad de la evaluación de escritura y ortografía.

Marco teórico

Según [6] por definición, ortografía es la “parte de la gramática que enseña a escribir de forma correcta” a través de los años muchos escritos, investigaciones, tesis, libros y artículos han hablado sobre pasos o reglas para mejorar la ortografía como por ejemplo “Manual de Ortografía de Gavidia Juberddelau” o la Tesis de González Nancy “Modelo para el mejoramiento del proceso de enseñanza-aprendizaje de ortografía en la formación de profesionales para la educación técnica y profesional” se han encontrado algunos escritos que hablan de como implementar un artefacto o gadget TIC que ayude con el aprendizaje de la ortografía y la caligrafía en los jóvenes y adultos, tales como Ar2p-Tex es un sistema de reconocimiento y corrección automático de palabras mal escritas basado en reconocimiento de patrones con redes neuronales en el cual se presentan experimentos con textos que contienen adicción, omisión, cambio de letras [7].

En la tesis de ortografía de Cassany (1999), hace hincapié en la importancia que tiene la experiencia escritora en la acumulación de información en dicha memoria, de tal forma que la habilidad escritora experta, parece estar relacionada con una variedad en escritura.” [8] esto es a donde se pretende llegar con el uso constante del prototipo Cali-Ortográfico sugerido por este estudio para que la persona, con el constante uso, visión y corrección continua, logre grabar en su memoria las palabras, para luego así, sin el uso de este prototipo pueda escribir correctamente, y de una forma amena corrija su caligrafía.

Así mismo Vygotsky en sus teorías sobre el aprendizaje, propone utilizar la práctica socio-constructivista en niños, donde puedan aprender interaccionando con el entorno que los rodea, en esta investigación la propuesta de los autores es para ser aplicada a jóvenes mayores de edad, utilizando como herramienta las nuevas tecnologías TIC.

También, Alegre, G. en su artículo Lernestift el lápiz inteligente dice: “Ahora gracias a este invento del alemán Falk Wolsky y su colega Daniel Kaesmacher, todo esto puede ser corregido ya que el mismo es capaz de detectar los errores ortográficos y gramaticales avisando al usuario con una pequeña vibración cuándo el error es ortográfico y con dos vibraciones si el error es gramatical” [9]. Este es un desarrollo de prototipo que ha sido creado en Alemania, de igual forma se puede confirmar que en Colombia no se encuentra definido un prototipo que estudie las dos opciones de corrección que se propone en este proyecto como son la caligrafía y la ortografía el cual pretendemos iniciar y llegar a su implementación como un emprendimiento al alcanza de todos los estratos socioeconómicos y especial a la población vulnerable de Colombia.

Eltrabajo de GonzálezCM.(2012) refiere que: “A los adultos nos sucede con frecuencia que tenemos dificultades para “acomodarnos” a las nuevas ideas, pues siempre intentamos asimilarlas con las viejas estructuras. Nos cuesta dejar el antiguo punto de vista y ponernos anteojos con cristales de otro color. Sin embargo, es la fuerza de la realidad, su certeza, lo que muchas veces nos hace modificar nuestra forma de pensar” [10]. Con un gadget en forma de lapicero caliortográfico los jóvenes en un constante uso de la visión y tacto con el dispositivo TIC, podrá grabar en su mente las palabras correctas para así no volver a ejecutar los mismos errores.

El autor Saith Hung E. (2015) afirma que “…la disponibilidad del uso de los recursos TIC, el apoyo de la comunidad educativa, el desarrollo de las competencias TIC y la actitud frente al uso y apropiación de las TIC son factores determinantes que influyen en el nivel de inclusión de las TIC en los contextos escolares y en el nivel de uso de las Tecnologías de la Información y Comunicación como herramientas mediadoras en los procesos educativos en los centros escolares” [11], claramente esta es la apuesta a la que se enfoca este trabajo. La tecnología OCR: “(Reconocimiento Óptico de Caracteres) es una tecnología que le permite convertir diferentes tipos de documentos, tales como documentos en papel escaneados, archivos de PDF o imágenes captadas por una cámara digital en los datos editables y con opción de búsqueda” [12]. ABBYY, 2019, esta tecnología junto con el procesamiento de lenguaje natural y técnicas de inteligencia artificial, hoy permiten reconocer texto escrito de forma natural, según lo expresa la consultora Jelani Harper [13].

De igual forma la Tecnología OCR se ha utilizado en diferentes estudios tales como: Morejón,Reyes,O.J. 2015Tesis “Estudio de la tecnología RFID y su aplicación en el control y gestión del estacionamiento vehicular usando tecnología OCR y herramientas de comunicación vía SMS y correo electrónico” [14].

La autora Uribe Quintero C. (2015) afirma que los estudiantes tienen mala ortografía debido a la falta de lectura, lo cual es necesario que el docente incluya al estudiante en la práctica de lectura, a través de programas como por ejemplo: el plan del lector; es necesario elegir textos que a ellos les llame la atención, para fomentar la practica en grandes lectores y escritores [15]. Lo anterior afirma y ratifica una vez más la importancia de este proceso de investigación que se está realizando con este proyecto, el impacto y beneficio que traerá la tecnología aplicada a este problema de investigación se refleja en un aporte para los aprendices del SENA.

Materiales y métodos

La metodología que se aplicará en la investigación se llevará a cabo mediante un enfoque cualitativo de tipo mixto basado en las tipologías: documental, descriptivo y experimental , el diseño metodológico esta dado por el modelo ADIE que consta de fases:

análisis, diseño, desarrollo y evaluación, las cuales se ajustan a los objetivos específicos del proyecto base, guardando coherencia con actividades, resultados y productos de acuerdo con la metodología de marco lógico que aplica el SENA en sus proyectos.

Por consiguiente, se definió realizar el estudio de tipo descriptivo en jóvenes aprendices de programas de formación Tecnólogo mayores de 18 años de la Coordinación de Comercio del Centro CIES para mejorar el proceso de caligrafía y ortografía que se trae desde los primeros años escolares, mediante un dispositivo tecnológico en este caso un lapicero CaliOrtográfico y así dar alternativas de mejoramiento.

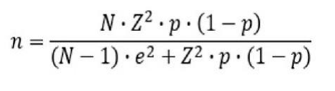
Para calcular la muestra se aplicó la fórmula de población finita:

n = El tamaño de la muestra que queremos calcular = 75
N = El tamaño del universo o población = 375
Z = Nivel de Confianza (Distribución de Gauss) 90% -> Z = 1,65
e = margen de error que se admitió = 8,5%
p = Es la proporción de la muestra, p = 50%

Resultados y discusión

A continuación, se muestran los resultados obtenidos Análisis de los resultados de la aplicación del instrumento:

Figura 1 ¿Conoce usted algún dispositivo electrónico que mientras esté escribiendo a mano le corrija la caligrafía y la ortografía?

Figura 1 ¿Conoce usted algún dispositivo electrónico que mientras esté escribiendo a mano le corrija la caligrafía y la ortografía?

En la gráfica 2 el 99% de los encuestados le gustaría tener un dispositivo TIC que le ayudará a mejorar estos aspectos de caligrafía y ortografía.

Figura 2. ¿Le gustaría tener un dispositivo TIC que le ayudar a a mejorar la caligrafía y ortografía?

Figura 2. ¿Le gustaría tener un dispositivo TIC que le ayudar a a mejorar la caligrafía y ortografía?

En la pregunta 3, el 97% de los aprendices ostenta que se preocupa por mantener una buena caligrafía y ortografía al escribir.

Figura 3. ¿se preocupa usted por mantener una buena ortografía y caligrafía al escribir o tomar nota

Figura 3. ¿se preocupa usted por mantener una buena ortografía y caligrafía al escribir o tomar nota

En relación con la pregunta 4 el 98% exterioriza que la mala caligrafía y ortografía se debe a la falta de práctica.

Figura 4. ¿Cree usted qye la mala ortografía y caligrafía se debe a la falta de práctica?

Figura 4. ¿Cree usted qye la mala ortografía y caligrafía se debe a la falta de práctica?

En la figura 5 el 55% manifiesta creer en un dispositivo TIC que le ayudaría a mejorar el proceso cali-ortográfico.

Figura 5.¿Cree usted que un dispositivo TIC tipo lapocero inteligfente le ayudará a mejorar su caligrafía y ortografía?

Figura 5.¿Cree usted que un dispositivo TIC tipo lapocero inteligfente le ayudará a mejorar su caligrafía y ortografía?

Por medio de la pregunta 6 se puede inferir que menos del 54% de los aprendices nunca o algunas veces práctica la lectura y la escritura con el objeto de mejorar su proceso caliortográfico.

Figura 6. ¿Usted lee y escribe con el objeto de mejorar su caligrafía y ortografía?

Figura 6. ¿Usted lee y escribe con el objeto de mejorar su caligrafía y ortografía?

Resultados Ortográficos:

Figura 7. Gráfico con resultados de errores ortográficos de prueba escrita

Figura 7. Gráfico con resultados de errores ortográficos de prueba escrita

De igual forma en la prueba de dictado que se realizó a los mismos aprendices encuestados se notó que de las 43 palabras posibles para estudio de error ortográfico el 0% tiene una excelente ortografía deduciendo que el 100% de los aprendices tienen errores ortográficos.

Resultados de OCR:

Figura 8. Gráfico con resultados de OCR prueba escrita

Figura 8. Gráfico con resultados de OCR prueba escrita

En la figura VIII, Gráfico con resultados de OCR se representa el resultado de la investigación realizada dejando una gran preocupación y confirmando la puerta de entrada de esta investigación en desarrollar un accesorio que permita mejorar los procesos de caligrafía en la sociedad.

En relación con el análisis por OCR se puede observar que la mayoría de los evaluados tiene un déficit de más del 96% en la caligrafía ya que el OCR como herramienta tecnológica permite identificar con exactitud las palabras claramente escritas y las escritas con mala caligrafía no permiten su reconocimiento.

En lo que se refiere a esta investigación se mostrara parte de las estadísticas arrojadas de este proceso basadas en un instrumento aplicado para poder establecer qué tan necesario es un dispositivo TIC que ayudará a corregir estos dos aspectos de la escritura nos da una estadística para la encuesta, y el dictado.

En esta estadística de resultados se da a conocer como los errores ortográficos son bien notables y son punto de partida para esta investigación confirmando la necesidad del dispositivo tecnológico que mejore estas falencias de una manera cómoda y sencilla. Estos resultados nos permiten continuar con el proceso de investigación y dar continuidad al segundo objetivo del proyecto como es el diseño del dispositivo que ayude a corregir la ortografía y la caligrafía que tanto se ve afectada en esta población a la cual se aplicó la muestra.

La propuesta de solución a esta problemática es un gadget tipo lapicero basado en una tarjeta microcontrolador ESP8266 con pantalla OLED incorporada y que posee conectividad Wifi y bluetooth y el uso de una minicámara para realizar la captura de imagen y posterior envío para su procesamiento OCR, utilizando en la tarjeta programación en lenguaje Micro Python y en la nube algoritmos de aprendizaje automático con lenguaje Python.

El diseño de un lápiz corrector de ortografía que mediante una alerta sea visual, auditiva o vibratoria es un artilugio novedoso o “gadget” que cualquier padre de familia desearía adquirir para sus hijos, actualmente es posible conseguir a un alto costo dispositivos de este tipo en tiendas como Amazon [16], La empresa Samsung modificó su lápiz inteligente llamado S Pen para el nuevo Smartphone Galaxy Fold 3, en el que ofrece un campo editable para ingresar texto en la pantalla, que permite convertir la redacción a mano en texto digitalizado e informando al usuario las palabras mal escritas [17]. Smart pen como Livescribe, la evolución de este tipo de lápiz pluma o de bolita a un lápiz óptico digital que permita aprender de una forma divertida con el uso de la tecnología como plantea [18]. Sedani (2015), basado en la revisión del deletreo que captura el dispositivo y envía a verificación a una base de datos remota en un PC [19].

Los modelos pedagógicos y las teorías socio constructivistas a cerca del aprendizaje en los procesos lecto escritores y grafomotrices en la primera infancia o etapa preescolar [20], como indican [21]s la época fundamental para la aprehensión de una buena caligrafía y sienta las bases de la correcta ortografía de la lengua español [21], aunque este proceso es continuo y permanente a lo largo de la formación de la persona durante los ciclos de educación media y superior, así lo explica [22] en su tesis.

Conclusiones

De acuerdo con los datos obtenidos de los instrumentos aplicados como son: más del 90% de los encuestados reconoce poseer mala ortografía y caligrafía y alrededor del 60% manifiesta su interés por el uso de un gadget o artefacto TIC que le ayude a mejorar el problema, se sustenta el estudio investigativo que demuestra lo necesario e indispensable el diseño y construcción de un artefactro, gadget o dispositivo TIC que permita mejorar la caligrafía y ortografía de los jóvenes.

La revisión documental y análisis de las fuentes de información recopiladas brindó soporte para sustentar y justificar la idea inicial del proyecto en cuanto a la complejidad versus la materialización del mismo, encontrando que con tecnologías hoy de punta y de bajo costo se puede implementar un dispositivo o gadgettipo lápiz para la escritura, captura en imagen del texto escrito y su procesamiento en la nube usando un lenguaje de manejo de datos y compatible con una tarjeta de sistema embebido como es MycroPython/Python.

La propuesta de solución, por medio de un dispositivo tecnológico debe facilitar la escritura y permitir el contacto con el papel; ofrecer la captura del texto escrito en imagen para posterior OCR, su visualización de la corrección de la palabra en la pantalla OLED con la erroneamente escrita, esto permitirá al usuario aprender con un modelo kinestésico y fortalecer la memorización de múltiples palabras. De igual forma este dispositivo debe poseer un diseño ergonómico y una estructura cómoda que facilite el manejo de este y permita la correcta caligrafía.


Referencias Bibliográficas

[1] M. del C. de la Peza, L. Rodríguez Torres, I. Hernández Unzueta, y R. Rubio, "Evaluación de competencias de lectoescritura en alumnos de primer ingreso a la Universidad Autónoma Metropolitana-Xochimilco", Argumentos, vol. 27, n.o 74, pp. 117-148, 2014

[2] E. Velásquez Ramos, "Las competencias de lectura y escritura a través de un sistema ubicuo y colaborativo de aprendizaje", Revista Assensus, vol. 5, n.º 9, pp. 171 - 189, 2020

[3] L.A. Villegas Uribe, "Manual de Ortografía", 2000

[4] OIT/CINTERFOR, "Promover la interacción de los aprendices consigo mismo, con los demás y con la naturaleza en los contextos laboral y social. SENA. Colombia | OIT/Cinterfor", 2008. https://www.oitcinterfor.org/experiencia/promover-interacción-aprendicesconsigo-mismo-demás-naturalezacontextos-laboral-social

[5] I. Rodríguez Martínez, "El desarrollo de la conciencia ortográfica desde el enfoque comunicativo funcional: una intervención psicopedagógica", tesis de pregrado, Universidad de Jalisco, 2005

[6] H. Salgado. El aprendizaje ortográfico en la didáctica de la escritura. Buenos Aires: Aique, press 1997

[7] E. Puerto, J. Aguilar, G. Gutiérrez y R. García, "Reconocimiento Automático de Palabras mal Escritas del Español Basado en el Funcionamiento Sistemático del Cerebro: Ar2p-Tex", Rev. Ibérica Sist. e Tecnol. Informação, vol. E26, pp. 426- 438, dic. 2019

[8] D. Cassany. Construir la escritura. Barcelona: GRAOO, press 1999

[9] G. Alegre, LERNSTIFT, EL LÁPIZ INTELIGENTE, Recuperado de: https://rincondelatecnologia.com/lernstift-lapizinteligente

[10] N. Y. González Domínguez, "Modelo para el mejoramiento del proceso de enseñanza-aprendizaje de la ortografía en la Formación de profesores para la educación técnica y profesional", tesis de doctorado, Editorial Universitaria, 2017

[11] E.S. Hung, Hacia un fomento de las TIC en el sector educativo en Colombia, 2015. Recuperado de: http://www.digitaliapublishing.com.bdigital.sena.edu.co/a/40677/hacia-un-fomento-de-lastic-en-el-sector-educativo-en-colombia

[12] ABBYY FineReader OCR. Recuperadode: https://www.abbyy.com/es-es/finereader/what-is-ocr/

[13] M. Smolaks, Intelligent document imaging with natural language processing and optical character recognition, 2019. Recuperado de: https://aibusiness.com/document.asp?doc_id=761011&site=aibusiness

[14] O. J. Morejón, Reyes, La tecnología RFID y su aplicación en el control y gestión del estacionamiento vehicular usando tecnología OCR y herramientas de comunicación. VIA SMS Y CORREO ELECTRONICO, 2015. Recuperado de: http://repositorio.ug.edu.c/e?type=author&value=Morejon+Reyes%2C+Omar+Jefferson

[15] C. P. Uribe Quintero, "¿por qué los estudiantes no tienen buena ortografía?", Universidad del Tolima, 2015.

[16] Amazon, The Writing's on the Wall with Phree Smart Pen. Recuperado de: https://www.amazon.com/Writings-Wall-PhreeSmart-Pen/dp/B00ZGDNR7O

[17] Samsung, Cómo usar el S Pen con tu Galaxy Z Fold3 5G | Samsung España, 2020. Recuperado de: https://www.samsung.com/es/support/mobile-devices/como-usar-el-s-pen-con-tu-galaxy-zfold3-5g/

[18] Livescribe Inc. Guía del usuario del bolígrafo inteligente. Recuperado de: http://www.livescribe.com/es/media/pdf/support/SmartpenUserManual_ES.pdf

[19] C.M. Sedani, J. Sedani, S. Jagtap, "Spell-check pens: Learning with Technology and fun". International Research Journal of Computer Science (IRJCS), 7, no. 2, 2015

[20] Z.E. Rodríguez, M. C. Gutiérrez (2011). El socioconstructivismo en la enseñanza y el aprendizaje escolar. Recuperado de: https://www.researchgate.net/publication/319018818.

[21] E. Rodríguez, Gutiérrez, "El aprendizaje de la caligrafía y su incidencia en la apropiación de la lengua escrita en niños de educación preescolar: Decidiendo entre la cursiva y la script",. tesis de maestría, Universidad Nacional de Colombia, 2014

[22] O.C. Pedroso Caraballo, "Estrategia para el desarrollo de una correcta ortografía en estudiantes de secretariado del Nivel Medio", Tesis de maestría. Universidad de Ciencias Pedagógicas Enrique José Varona, La Habana, 2011