Mundo Fesc, 10 (20), pp. 156-165 Julio-Diciembre, 2020, ISSN 2216-0353, 2216-0388

Análisis numérico de excentricidad unidireccional en zapatas aisladas

Numerical analysis of unidirectional eccentricity in isolated footings

Paula Andrea Rodríguez-Obando, Juan David Salazar-Niño, Juan Carlos Ruge-Cardenas

Ingeniera Civil. Facultad de Ingeniería. Programa de Ingeniería Civil. Think Tank en Imagenología y modelación numérica de geomateriales, paula.rodriguez3@unimilitar.edu.co. Orcid: 0000-0003-4750-9456, Universidad Militar Nueva Granada, Carrera 11 #101-80, Bogotá-Colombia
Ingeniero Civil. Facultad de Ingeniería. Programa de Ingeniería Civil. Think Tank en Imagenología y modelación numérica de geomateriales, juand.salazar@unimilitar.edu.co, Orcid: 0000-0002-1969-1513, Universidad Militar Nueva Granada, Carrera 11 #101-80, Bogotá-Colombia
PhD. en Geotecnia. Facultad de Ingeniería. Programa de Ingeniería Civil. Grupo de Investigación en Universidad Militar Nueva Granada, juan.ruge@unimilitar.edu.co, Orcid: 0000-0002-9100-6058, Carrera 11 #101-80, Bogotá-Colombia
Recibido: Febrero 12 de 2020 Aceptado: Mayo 22 de 2020
Forma de citar: P.A Rodríguez-Obando, J.D Salazar-Niño, J.C Ruge-Cardenas, “Análisis numérico de excentricidad unidireccional en zapatas aisladas”, Mundo Fesc, vol. 10, no. 20, pp. 156-165, 2020

Autor de correspondencia:
*Correo electronico:
paula.rodriguez3@unimilitar.edu.co

©2020. Fundación de Estudios Superiores Comfanorte.

Licencia Creative Commons


Resumen

La capacidad de carga última se define como la carga aplicada a un suelo mediante la distribución de una solicitación critica ejercida al material de soporte, valiéndose de un elemento geotécnico de conexión llamado cimentación. Según Terzaghi, la mayoría de las cimentaciones se diseñan bajo un concepto conocido como falla general por corte. Teóricamente, existe una influencia sobre el cálculo, detectada por el efecto de la excentricidad de la carga, transmitida por la columna de la estructura aporticada. Esta excentricidad puede ser causada por varios aspectos, en especial, superestructurales que son transferidos a la cimentación superficial. El estudio consta de un análisis numérico, usando un modelo computacional basado en el método de elementos finitos; y una evaluación mediante ecuaciones empíricas que son usadas en la cotidianidad de la ingeniería práctica. Los resultados muestran cierta similitud, donde se revelan valores conservadores en las modelaciones numéricas respecto a las teorías tradicionales.

Palabras Claves: Capacidad de carga última; Cimentaciones superficiales; Excentricidad; Método de elementos finitos; Modelación numérica.


Abstract

The ultimate bearing capacity is defined as the load applied to a soil through the distribution of a critical stress exerted on the support material, using a geotechnical connecting element called a foundation. According to Terzaghi, most foundations are designed under a concept known as general shear failure. Theoretically, there is an influence on the calculation, detected by the effect of the load eccentricity, transmitted by the column of the structure. This eccentricity can be caused by various aspects, especially superstructural ones that are transferred to the shallow foundation. The study consists of a numerical analysis, using a computational model based on the finite element method; and an evaluation by means of empirical equations that are used in the daily practice of engineering. The results show a certain similarity, where conservative values are revealed in the numerical models with respect to traditional theories.

Keywords: Eccentricity, Finite element method, Numerical modelling, Superficial foundations, Ultimate bearing capacity.




Introducción

Las cimentaciones cobran gran importancia en la ingeniería civil, ya que ayudan a transmitir las cargas al suelo y con eso a distribuir las presiones admisibles. Considerando el tipo de estructura que el terreno va a soportar, garantizando la estabilidad. Sin embargo, se tiene en cuenta la capacidad portante y las propiedades del suelo, para que los asentamientos no sean excesivos y en lo posible evitar la diferencialidad en los mismos.

Tal vez la primera persona que tuvo una aproximación válida al problema de la capacidad de carga fue Prandtl en 1920 [1]. Esta ecuación solucionaba el problema de capacidad de carga para una solicitación distribuida en una franja, sobre un medio donde no se consideró su peso propio (ingrávido), siendo esta la principal limitación del método. [2] incluyó dentro de la ecuación de Prandtl una sobrecarga alrededor de la cimentación, con lo cual esbozó los avances posteriores, sobre la influencia de la profundidad de desplante en el cálculo de capacidad de carga ultima.

A partir de este momento, surgieron diferentes metodologías que se conocen hoy día como extensiones de la teoría de Prandtl. [3] quien ya introdujo el peso específico en el cómputo y [4]finalmente propuso la ecuación que inspiró al resto de investigadores que continuaron los estudios en este campo.

La capacidad de carga según [4] se puede considerar superficial si la profundidad de desplante es menor o igual al ancho de la misma Df ≤ B. Considerando el análisis de equilibrio, conociendo la capacidad de carga última como: c·Nc+q·Nq+½·γ·B·Nγ, donde c es la cohesión, γ es el peso específico y Nc, Nq, Nγ son los factores de capacidad de carga adimensional. Ahora bien, [5] planteó una mejora en la ecuación, incrustando en la teoría original unos factores de corrección por forma, inclinación y profundidad, los cuales tornaron la ecuación más realística.

[6] fundamentándose en [3] y [7], consideró una generalización de la ecuación, logrando una mayor aplicabilidad que las propuestas originales. También acepta el cálculo a corto (undrained) y largo plazo (drained), que es muy utilizado en diseños geotécnicos de la actualidad.

Concordando con [8], quizá el parámetro que más aportes ha tenido dentro del estudio de la ecuación general de capacidad de carga ha sido el Nγ , conocido como el coeficiente relacionado con el peso específico del material [3-13]. Otros efectos como la influencia de la compresibilidad del suelo fueron muy bien analizados por [14], quién trabajó sobre casos diferentes a la falla por corte general del suelo e insertó unos factores que podían considerar los casos de falla local y de punzonamiento en suelos más compresibles. Involucró por primera vez el concepto de índice de rigidez que posteriormente tuvo aplicaciones en cimentaciones profundas.

Existen trabajos más recientes sobre diferentes afectaciones a la formula como, la superficie de contacto, rugosidad de la base, cimentaciones adyacentes, posición del nivel freático y velocidad de carga fueron propuestos por [15-26]. No obstante, estos efectos se consideran que pueden ser útiles en casos muy raros y no son utilizados a menudo en el diseño de cimentaciones superficiales.

La ecuación general de capacidad de carga, como en la actualidad se conoce a la forma moderna de cálculo, ha tenido los mayores aportes por parte de [10] y [12]. No obstante, proyectistas más tradicionales siguen considerando la fórmula de [4] válida para cálculos actuales.

En cuanto a excentricidad en la carga, que es el tema que atañe a esta investigación, varios autores han tenido participación en esta problemática. Por ejemplo, [9] extendió la formula introduciendo el concepto de área efectiva en la cimentación afectada por la carga excéntrica (Fig 1). Posteriormente, [27] fijaron unas expresiones para los factores de forma que podían tener variaciones debido a la excentricidad en el sistema.

Figura 1: Excentricidad en cimentaciones superficiales

Figura 1: Excentricidad en cimentaciones superficiales

Referente a la eventualidad de excentricidad bidireccional, la cual es ampliamente usada en la actualidad, en especial en cimentaciones de muros de contención que pueden tener empujes en diferentes direcciones. [28] expusieron cinco casos (incluyendo caso circular), donde el punto de acción de la carga sobre un cuadrante de la cimentación delimitaba el área efectiva, formando diferentes figuras geométricas.

Con el objeto de realizar un análisis numérico comparativo con metodologías analíticas clásicas, ya discutidas en esta introducción, se utiliza un software basado en el método de elementos finitos. Se plantean diferentes variaciones relacionadas con la excentricidad artificial que se genera en una zapata cuando existe un momento real que se crea, cuando existen cargas laterales o empujes, en especial cuando la cimentación es una zapata que hace parte de un muro de contención. El modelo constitutivo usado para el suelo fue Mohr-Coulomb.

Metodología

La Figura 1, muestraelmodelo computacional que se proyectó para diseñar el modelo geométrico que se insertó en el software escogido para la tarea. Los cálculos se ejecutaron usando una zapata típica de dos metros de ancho, cuyo valor fue fijado para este estudio. Para simular la excentricidad teórica, se proponen diferentes distancias a partir del centro, y se desplazaron 0,25 metros a la derecha hasta llegar al extremo de la zapata, es decir un metro a la derecha de la línea de acción de la cimentación. La carga aplicada se definió en 50 kN.

Paralelamente, se estima la capacidad de carga última para cada una de las excentricidades seleccionadas, por medio de las técnicas analíticas clásicas ya repasadas, que se pueden analizar en las ecuaciones 1-6. Estas se enmarcan en la propuesta de [9], que determina el ancho efectivo teórico B’=B–2e, donde e, es la excentricidad virtual de la carga sobre la zapata.

Figura 2: Modelo computacional del problema geotécnico analizado

Figura 2: Modelo computacional del problema geotécnico analizado

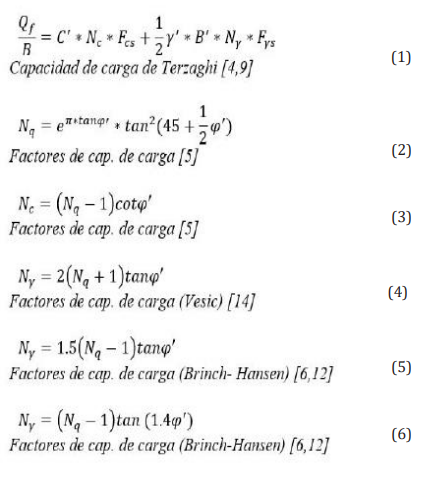
Análisis por métodos tradicionales

La metodología que se utiliza para los cálculos analíticos de la capacidad de carga, está basada en el vanguardismo del estado del arte analizado anteriormente. Como la zapata no está definida dentro de un desplante para este problema en particular, la segunda parte de la ecuación moderna general de capacidad de carga no es considerada.

Como el problema abordado es relativamente sencillo, la excentricidad es reproducida e insertada en la zapata mediante el ancho efectivo teórico B’. De igual manera, los factores de forma (Fcs, Fqs, Fgs) se ven afectados, obviamente por la modificación teórica de las dimensiones de la zapata. A partir de las ecuaciones mostradas a continuación, se realizó el cálculo manual de cada una de las modelaciones. Con la ecuación (1), se calculó la capacidad de carga última, utilizando los factores computados en las ecuaciones (2),(3),(4),(5) y (6).

Modelación numérica basada en elementos finitos

La modelación fue desarrollada usando el software Plaxis, a partir de los datos mostrados en la tabla 1 y el modelo computacional de la Figura 2. Una vez configuradas dichas propiedades en el software, y creada la geometría se ubica el nivel freático justo abajo de la zapata, se aplica una carga de 50 kN la cual se desplaza 0.25 metros hasta llegar al extremo. Los datos mostrados en la Tabla 1 son las características del suelo de estudio, a partir de estos se realizan los cálculos con las ecuaciones mostradas anteriormente.

La localización de las cargas excéntricas se puede observar en la Figura 3. (A) Carga céntrica; (B) Carga excéntrica e=0,25 m; (C) Carga excéntrica e=0,5 m; (D) Carga excéntrica e=0,75 m y (E) Carga excéntrica e=1,00 m. En algunos casos las excentricidades pueden parecer extremas a los que podría ocurrir eventualmente en la realidad, pero se quiso observar el efecto completo de la excentricidad en la zapata.

Figura 3: Posiciones de la carga excéntrica

Figura 3: Posiciones de la carga excéntrica

Resultados y Discusión

Claramente este es un estudio comparativo entre herramientas tradicionales y modernas. Donde se busca observar los resultados obtenidos mediante una vía analítica, usando metodologías cotidianas en el diseño de cimentaciones superficiales y unas vertientes numéricas usando un software basado en el método de elementos finitos. El modelo constitutivo usado en la modelación numérica fue Mohr-Coulomb. Uno de los objetivos fue analizar elementos conservadores en los resultados arrojados, con el fin de conocer que margen de diferencia existe entre las dos técnicas en el momento de abordar un diseño real.

Las capacidades de carga última usando algunas diferencias en los factores de capacidad de carga, mostraron que los resultados son similares, con algunas disparidades. En especial, cuando la excentricidad es menor. A medida que la excentricidad crece los valores tiende a cambiar menos entre metodologías.

Tabla I. Datos del problema geotécnico

Tabla I. Datos del problema geotécnico

Referente a los resultados de capacidad de carga última, estos provienen de una gráfica carga vs desplazamiento. A partir del desplazamiento máximo se realiza la multiplicación por la carga utilizada en la modelación (en este caso 50 kN) y de esta manera se obtiene la capacidad de carga última a través del software. A partir de la gráfica mostrada en la Figura 4, se lee el desplazamiento, los resultados obtenidos mediante la modelación en el software se muestran en la Tabla 2. Se observa que los resultados disminuyen cuando la carga se aleja de la zapata.

Tabla II. Resultados de carga ultima a partir de Plaxis

Tabla II. Resultados de carga ultima a partir de Plaxis
Figura 4: Gráfico Carga vs Desplazamiento

Figura 4: Gráfico Carga vs Desplazamiento

La Figura 5, muestra la deformación exagerada de la zapata, a medida que la carga se torna más excéntrica. Se nota un asentamiento diferencial en el extremo, cada vez más acentuado. Ese resultado se esperaba, debido a que la capacidad de carga del suelo comienza a comportarse diferente que cuando existe una carga céntrica, donde esta capacidad se considera uniforme a lo largo del ancho de la cimentación.

En este caso, la capacidad de carga toma un valor máximo hacia el lugar donde existe una solicitación mayor, es decir localizado en el cuadrante del punto de acción de la carga excéntrica.

Figura 5: Malla deformada exagerada de la cimentación modelada

Figura 5: Malla deformada exagerada de la cimentación modelada

La Tabla 3 resume los resultados obtenidos anteriormente, además, muestra una columna en la que se observa la diferencia de magnitud entre los resultados obtenidos por medio del software y los resultados obtenidos manualmente, esta tabla solo muestra los resultados obtenidos aplicando las fórmulas de Vesic. Es importante mencionar que para excentricidades realísticas como son las menores a 0,5 m, ambas vías de análisis muestras resultados consistentes. Siendo siempre la metodología analítica más conservativa que la herramienta numérica. Para datos extremos de excentricidad la técnica de Vesic, muestra resultados razonables y consecuentes con el valor de excentricidad. En cuanto a la modelación numérica, los valores extremos muestran datos de capacidades de carga bastante bajos, influenciados presumiblemente por las grandes deformaciones a las que se ve sometido el dominio del problema debajo de la zapata, distorsionando exageradamente el elemento finito correspondiente. También en el modelo numérico es probable que los nodos de contacto entre la zapata y el suelo de la parte contraria a la localización de la carga excéntrica, dejen de trabajar a compresión y muestren una respuesta que es difícil de reproducir mediante el modelo Mohr-Coulomb que no predice trayectorias de esfuerzos a tensión. Esto es claramente visible en la Figura 4 (C, D y E).

Tabla III: Comparación 1 (Vesic)

Tabla III: Comparación 1 (Vesic)

Al igual que se hizo la comparación con los resultados obtenidos mediante las ecuaciones de Vesic, se realizó también para Brinch Hansen y para Meyerhof, estas se pueden observar en las Tablas 4 y 5 respectivamente.

Tabla IV: Comparación 2 (Brinch Hansen)

Tabla IV: Comparación 2 (Brinch Hansen)

En la tabla 4 se realiza la comparación entre los resultados obtenidos en Plaxis y los obtenidos con las ecuaciones de Brinch Hansen, en este caso tanto la diferencia mínima como la máxima aumentaron respecto a los datos de la Tabla 1. Ambas metodologías revelan la misma correspondencia que la analizada anteriormente (Vesic). Las excentricidades mayores a B/6 que en algunos casos pueden considerarse poco realísticas, muestran alta dispersión entre la predicción con elementos finitos y la predicción con cálculos analíticos.

Tabla V: Comparación 3 (Meyerhof)

Tabla V: Comparación 3 (Meyerhof)

Finalmente, en la Tabla 5 se realiza un análisis de comparación valido para las otras propuestas, el cual corresponde a los resultados obtenidos por medio de las ecuaciones de Meyerhof. En el caso realístico, la diferencia más pequeña fue de 17.06 kN, equivalente a un 9.55%, y la máxima (poco realístico) fue de 90.92 kN, equivalente a un 68.98%. Se puede observar que los resultados obtenidos con las ecuaciones de Brinch-Hansen y Meyerhof son similares, por este motivo la diferencia y el porcentaje de diferencia entre estos tiende a ser igual.

En todos los métodos utilizados en esta investigación, se encontró que la capacidad de carga última disminuye, a medida que se incrementa la excentricidad en la zapata. Esta respuesta es más notoria en la simulación numérica, debido a que el método es basado en esfuerzos y deformaciones. Donde para excentricidades elevadas, la zapata queda sometida a un asentamiento diferencial exagerado que reduce claramente la capacidad de carga movilizada a lo largo del ancho de la zapata, puesto que ciertas partes de la interfase suelo-zapata, trabajaran a tensión.

Conclusiones

Se logró realizar un análisis comparativo entre ambasmetodologías, el cual conduce ala conclusión que las metodologías analísticas, terminan siendo más conservativas que las técnicas numéricas. Esto es útil en etapas de diseño donde eventualmente se produzca una excentricidad teórica para la existencia de un momento actuando sobre la cimentación, o en el caso de zapatas asimétricas limitadas por los linderos del lote. La herramienta numérica es muy versátil, porque permite realizar variaciones de manera rápida y sencilla e incluso modificando aspectos como el modelo constitutivo del material.

MComo ya fue mencionado, en excentricidades menores a B/6, que tienden a ser más realísticas, o por lo menos más frecuentes en diseños reales, los valores entre las predicciones numéricas y cálculos analíticos, tienden a estar cercanos. Cuando la excentricidad toma valores mayores a B/6, la modelación numérica arroja valores muy bajos de capacidad de carga, a medida a medida que se incrementa la excentricidad. En los métodos analíticos este comportamiento no se observa de igual manera. Por tal razón, es lógico pensar que mientras la excentricidad se hace mayor, la capacidad de carga del tándem suelo-zapata disminuye.

A pesar de la bondad y versatilidad de las herramientas numéricas, estas presentan problemas cuando hay grandes deformaciones en la malla de elementos finitos. Esto se presentó cuando las excentricidades fueron extremas en la zapata y generaron un asentamiento diferencial, polarizando la solicitación de carga de la zapata hacia un lado de la cimentación. De allí el concepto de ancho efectivo B’. La parte contraria al asentamiento genera en la malla trayectorias a tensión, para las cuales el modelo constitutivo no está configurado. Esto lleva a valores muy bajos que pueden no ser realísticos en el problema.


Referencias Bibliográficas

[1] L. Prandtl, 1920. “Über die Härteplastischer Körper.” Nachr. Ges. Wiss. Goettingen. Math. Phys. Klm pp.74–85, 1920

[2] H. Reissner, Zum Erddruck problem. In: Biezeno, C.B., Burgers, J.M. (Eds.), Proceedings of the 1st International Congress for Applied Mechanics, Delft, The Netherlands, pp.295–311, 1924

[3] A.S. Keverling Buisman, . Grondmechanica. Waltman, Delft, the Netherlands, 243, 1940

[4] K. Terzaghi, Theoretical Soil Mechanics. J. Wiley, New York, 1943

[5] G.G. Meyerhof, The ultimate bearing capacity of foundations. Géotechnique vol. 2, pp. 301–332, 1951

[6] J. Brinch Hansen, "A general formula for bearing capacity", Bulletin No 11, Geoteknisk Institut. Institute Akademict for de Tekniske Videuskaber, Copenhagen, 1961

[7] A. W. Skempton: "The bearing capacity of clays" Proc. Buil. Res. Congr., Londres, 1951

[8] S. Van Baars, The inclination and shape factors for the bearing capacity of footings. Soils and Foundations, 2014

[9] G.G. Meyerhof, The bearing capacity of foundations under eccentric and inclined loads. In: Proceedings of the III International Conference on Soil Mechanics and Foundation Engineering, Zürich, Switzerland, 1, pp. 440–445, 1953

[10] G.G. Meyerhof, "Some recent research on the bearing capacity of foundations", Can. Geotech. J., vol. 1, no. 1, pp. 16–26, 1963

[11] A. Caquot, J. Kerisel, "Sur le terme de surface dans le calcul des fondations en milieu pulverulent", In: Proceedings of the Third International Conference on Soil Mechanics and Foundation Engineering, Zurich, Switzerland, vol.1, 16–27 August 1953, pp.336–337, 1953

[12] J.A. Brinch Hansen, Revised and extended formula for bearing capacity, Bulletin no.28. Danish Geotechnical Institute Copenhagen, pp. 5–11, 1970

[13] W.F. Chen, Limit Analysis and Soil Plasticity. Elsevier, 1975.

[14] A. Vesic, Análisis de la capacidad de carga de cimentaciones superficiales. Universidad Autónoma de Mexico, 1973

[15] J. Biarez, M. Burel, and B. Wack, “Contribution á létude de la force pprtante des fondations”, Procs, V International Conference on Soil Mechanics and Foundation Engineering, vol 1, Paris pp. 603-609, 1961

[16] E.E. De Beer, and A. Vesic, “Etude experimentale de la capacité portante de sable des fondations directes etablies en surface”, Annales des Travaux Publics de Belique, no. 3, pp. 5-58, 1958.

[17] G.G. Meyerhof, “The ultimate bearin capacity of wedge-shaped foundations”, Procs, V International Conference on Soil Mechanics and Foundations Engineering, vol. 2, pp. 105-109, 1961

[18] Szechy, K. “Der Einfluss der Sohlflachenform von Streifenfundamenten auf die Tragfahigkeit und Spannungsausbreitung”, VDI Zeitschrift, vol. 109, no. 8 pp. 339-344, 1967

[19] J. Mandel, “Interference plastique de semelles filantes”, Procs, VI International Conference on Soil Mechanics and Foundation Engineering, vol. 2, pp. 127- 131, 1965

[20] J.G. Stuart, "Interference between Foundations with Special Reference to Surface Footings in Sand", Geotechnique, vol. 12, no. 1. pp. 15-22, 1962.

[21] CJ.M. West and J.G. Stuart, “Oblique Loading resulting from interference between surface footings on sand”, Procs, VI International Conference on Soil Mechanics and Foundation Engineering, vol. 2, pp. 214-217, 1965.

[22] G.G. Meyerhof, “Influence of roughness of base and groundwater conditions on the ultimate bearing capacity of foundations”, Geotechnique, vol. 5, no. 3 pp. 227-242, 1955

[23] L.W. Heller, “Failure modes of impact-loaded footings on dense sand”, technical Report R-281, US Naval Civil Engineering Laboratory, Port Hueneme, California, pp. 1-31, 1964

[24] F.E. Richart, “Dynamically Loaded foundations in bearing capacity and settlement of foundations”, Procs, Symposium held at Duke University pp. 69-81, 1965

[25] A.S. Vesic, D.C. Banks and J.M. Woodward, “An experimental study of dynamic bearing capacity of footings on sand”, Procs, VI International Conference on Soil Mechanics and Foundation Engineering, vol. 2, Montreal, pp. 209- 213, 1965

[26] R.V. Whitman, “The response of soils to dynamic loadings”, Contract report No. 3-26, US Army Waterways Experiment Station, Vicksburg, Miss, 1970.

[27] S. Prakash and S. Saran, "Bearing capacity of eccentrically loaded footings", J. Soil Mech. Found. Div., ASCE, vol. 97, no. 1, pp. 95, 1971

[28] W. H. Highter and J.C. Anders, "Dimensioning footings subjected to eccentric loads", J. Geotech. Eng., ASCE, vol. 111, no. 5, pp. 659, 1985